Quadratic Formula Calculator
The calculator below solves the quadratic equation of
When a Quadratic Formula Calculator Fails, and What to Do Instead
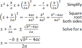
A quadratic formula calculator solves equations of the form (ax^2 + bx + c = 0) by computing (x = ). The catch: most users apply it blindly, burning precision on perfectly factorable quadratics or missing real-world constraints entirely. The hidden cost isn’t the math—it’s choosing the wrong tool for the structure of your problem.
The Precision Trap: Why Direct Substitution Destroys Accuracy
Here’s what standard instruction omits. When (|b| ), the standard formula suffers catastrophic cancellation. One root involves subtracting nearly equal numbers, stripping significant digits in floating-point arithmetic. This isn’t theoretical—it’s why numerical analysis courses teach alternative forms.
Consider the case where (a = 1), (b = 10^6), (c = 1). The discriminant (= b^2 - 4ac = 10^{12} - 4). Computing (-b + ) directly yields zero in limited precision, when the true root is approximately (-10^{-6}). The fix: compute the root away from cancellation first, then recover its partner via Vieta’s formula (x_1 x_2 = c/a).
| Scenario | Standard Formula Risk | Better Approach |
|---|---|---|
| (b^2 | ac | ) |
| (a ) (near-linear) | Division by tiny (a) magnifies errors | Fallback to linear solve: (x = -c/b) |
| (< 0) with real coefficients | Complex roots expected | Check: do you need real-only output? |
Most online calculators don’t expose this. They compute what you typed, not what you meant. The judgment call: if your coefficients span more than three orders of magnitude, stabilize manually or verify with a second method.
EX: A Walkthrough With Hidden Decisions
Problem: A projectile’s height follows (h(t) = -4.9t^2 + 24.5t + 10) meters. Find when it hits the ground.
Step 1 — Structural recognition before button-pressing. This factors cleanly: divide by (-4.9) to get (t^2 - 5t - 2.041…). Actually, it doesn’t factor nicely. The coefficients (a = -4.9), (b = 24.5), (c = 10) suggest calculator use, but notice (b = -5a)—a relationship that simplifies symbolic work even if we compute numerically.
Step 2 — Discriminant first, always. (= (24.5)^2 - 4(-4.9)(10) = 600.25 + 196 = 796.25). Positive. Two real roots. But physics demands (t > 0), so we need both roots then filter.
Step 3 — Compute with attention to precision. Here (|b| = 24.5) and ( ). These differ enough that cancellation isn’t severe. Standard formula suffices:
[t = ]
Yielding (t_1 ) s (discard, before launch) and (t_2 ) s.
Step 4 — Sanity check via vertex. The parabola’s vertex is at (t = -b/(2a) = 2.5) s, height (h(2.5) = -4.9(6.25) + 24.5(2.5) + 10 = 40.625) m. Total flight time symmetric about vertex would be (2 = 5) s if launched from ground; our (5.38) s accounts for the (+10) m initial height. Consistent.
The non-obvious move: a calculator spitting out (-0.38) and (5.38) doesn’t know your domain constraints. You must filter. Many students report “two answers” without this step, losing points or worse, building unsafe models.
The Factorability Fork: When Calculators Make You Slower
If () is a perfect square, exact factoring beats numerical approximation every time. The quadratic (6x^2 - 19x + 10 = 0) has (= 361 - 240 = 121 = 11^2). A calculator returns (x ) and (x = 2.5). Factoring gives ((2x - 5)(3x - 2) = 0), exact roots (x = 5/2), (x = 2/3).
The trade-off: calculators trade exactness for generality. If you default to the tool, you miss structure. If you always attempt factoring first, you waste time on irreducible cases. The heuristic: check () for perfect-squareness if coefficients are integers under 100. Otherwise, calculator.
| Coefficient Pattern | Likely Structure | Recommended First Move |
|---|---|---|
| (a + b + c = 0) | Root at (x = 1) | Factor by inspection |
| (a - b + c = 0) | Root at (x = -1) | Factor by inspection |
| () perfect square | Rational roots | Factor or quadratic formula with exact arithmetic |
| Large integer coefficients | No simple structure | Stabilized quadratic formula |
Connected Tools and What Comes Next
A quadratic formula calculator sits in a broader toolkit. After solving, users typically need:
- Vertex form conversion: Complete the square to find maxima/minima. The calculator gives roots; vertex form gives the extremum directly at (x = -b/(2a)).
- Polynomial root-finders: For cubic or higher, Newton-Raphson or companion matrix methods replace closed formulas. No analogous quadratic formula exists for degree ≥5 (Abel-Ruffini theorem).
- Regression contexts: If your (a, b, c) came from fitting (y = ax^2 + bx + c) to data, the calculator’s precision is the least of your worries. Check condition number of the Vandermonde matrix; ill-conditioned fits amplify coefficient errors explosively.
The asymmetry: calculators solve exactly-specified equations beautifully but say nothing about where those coefficients originated. A coefficient with 5% measurement error can shift roots nonlinearly, especially near (= 0) where roots coalesce. Sensitivity analysis—perturbing inputs and observing output variance—matters more than the solve itself.
What to Do Differently
Stop treating the quadratic formula as a universal key. Before typing coefficients, inspect: factorability first, discriminant sign second, coefficient scale third for stabilization needs. The calculator is a precision instrument, not a replacement for structural recognition. Your speed and accuracy improve when you know why the formula might fail before it does.
